Lovforslag skal gøre bilpark grønnere - oppositionsparti frygter bureaukrati
I fremtiden skal indførsels- og motorafgift på biler beregnes efter, hvor højt et brændstofforbrug de har. Men det er problematisk, at en ny afgift deles op i 48 kategorier modsat tidligere fem, mener Demokraatit-formand.

Det er ikke kun afgifterne på plug-in hybridbiler, der skal ændres, hvis det står til Naalakkersuisut.
Lovforslaget om nye bilafgifter rummer nemlig også en helt ny model for beskatning af biler med konventionelle benzin- og dieselmotorer. De skal i fremtiden beskattes efter deres brændstofforbrug.
Brændstofforbruget skal være bestemmende for både den såkaldte indførselsafgift, der betales, når bilen importeres, samt for den løbende årlige afgift der hedder motorafgift.
Med den nye model for indførselsafgift vil de billigste køretøjer få en rabat i forhold til i dag.
Rabat til de billigste biler
Det foreslås nemlig, at afgiften for biler med en fakturaværdi på mellem 50.001 til 75.000 kroner skal betale en grundafgift på 50.000 kroner, Der er samme niveau som for biler med en fakturaværdi på mellem 0 og 50.000 kr.
Derudover skal der betales afgift for det fakturabeløb, der overstiger 75.000 kroner i forhold til disse afgiftstrin:

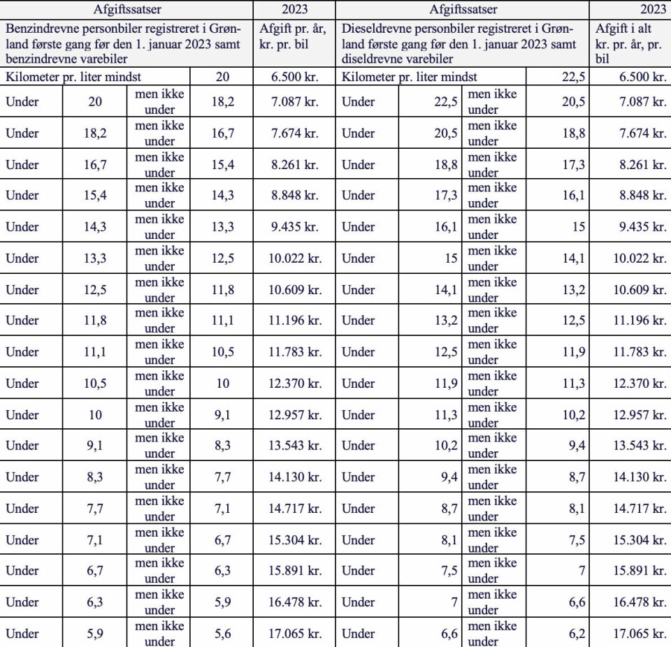
Med hensyn til den løbende motorafgift, sker beskatningen i dag udelukkende efter vægt opdelt i fem vægtklasser. Det skal også ændres til at beskatningen sker efter brændstofforbrug.
Incitament til at vælge den mindst klimabelastende
- Naalakkersuisut ønsker med forslaget at give befolkningen et incitament til at vælge den mindst klimabelastende bil, lyder begrundelsen for Naalakkersuisut.
- Med forslaget lægges op til, at afgiftsbelægningen tager udgangspunkt i bilernes brændstofforbrug. Det sker med afsæt i WLTP-standarden (Worldwide Harmonized Light Vehicle Test Procedure). Denne standard er mere realistisk end tidligere standarder og dermed bedre egnet som udgangspunkt for et afgiftssystem, skriver Naalakkersuisut i bemærkningerne til forslaget.
I forslaget om nye motorafgifter lægges der op til en opdeling i 24 kategorier for benzinbiler og 24 kategorier for dieselbiler.
- Jeg ser ikke nogen forenkling
Netop inddelingen i mange kategorier mener Demokraatits formand Jens-Frederik Nielsen er et problem:
- Det er hensigten, at det skal være så enkelt så muligt, men vi skifter fem kategorier ud med mange flere. Jeg ser ikke nogen forenkling. Omvendt tror jeg, det bliver noget makværk og sværere at administrere, siger Jens-Frederik Nielsen.
Derudover mener Jens-Frederik Nielsen ikke, at det er hensigtsmæssigt, at forslaget fremmer de billigste biler, der typisk er forhjulstrukne. Han henviser til, at de kan være uegnede til brug i Grønland.
Naalakkersuisoq for finanser, Naaja H. Nathanielsen (IA) afviser kritikken overfor Sermitsiaq.AG. Ifølge naalakkersuisoq er der tale om en nødvendig modernisering af systemet.
Kan vælge den mest fordelagtige afgift
- Rammerne om motorafgifterne er forældede, og de gældende kategorier er tilfældige, skriver Naaja H. Nathanielsen i en skriftlig kommentar og fortsætter:
- Jeg lægger op til, at vi her i landet baserer motorafgiften på den internationale standard WLTP. Det betyder, at lettere biler fra årsskiftet skal betale mindre i indførselsafgift og mindre i motorafgift.
Naalakkersuisoq understreger, at lovgivningen kun vil gælde nye biler, mens ejere af allerede indregistrerede biler, kan vælge mellem det nye afgiftssystem eller det gamle - alt efter hvilket der er mest økonomisk fordelagtigt for den enkelte.
- Hvis man i dag har en bil, der efter de nye regler vil være billigere, vil man kunne skifte til det nye system, skriver Naaja H. Nathanielsen.
Herunder er skemaet med den foreslåede model for motorafgifter:

